Заказ экскурсии


Автор: зав. отделом древнерусского искусства Гуляева Мария Александровна

Иконостас Богоявленской церкви. Фото В.Е. Заровнянных.

В Богоявленской церкви г. Соликамска Белозёровы служили в нескольких поколениях, однако более остальных известно имя Симеона Никитича. Он не только служил в означенной церкви, продолжил комплектование церковной библиотеки, но также занимался летописанием и иконописанием. Ризничная опись от 1803 г., составленная в бытность его священником Богоявленской церкви – самая подробная [15]. В ней имеются вкладные записи, которые не наблюдаются в последующих описях. В данной статье попробуем раскрыть некоторые биографические подробности жизни самого С.Н. Белозёрова и его потомков. Для удобства снабдим ее картой генеалогического древа, чтобы не запутаться в его ветвях (Приложение 1).

Отправной точкой в династии Белозёровых является поп Никифор, упоминающийся в синодике Богоявленской церкви [3, с. 106, 110]. Его сын, Иоанн Никифорович в 1728 г. значится диаконом, а на 1747 г. – уже священником Богоявленской церкви [2, с. 283]. В летописи под 1756 г. по-прежнему упоминается как «поп» (священник). Сын его Дмитрий на 1777 г. служил дьячком Богоявленской церкви. Второй сын, Иосиф, на протяжении 20 лет (1775 – 1795) служил священником Богоявленской церкви (его как раз и сменил впоследствии Симеон Никитич, который приходился ему племянником). Третий сын – отец нашего Симеона Никитича, Никита Иоаннович (1738 – 14.06.1809), служил дьячком (с 1754 г.), и диаконом (с 1765 г.) той же самой Богоявленской церкви. Для наглядности посмотрим на диаграмму (Приложение 2), где хорошо видно, что с 1777 года в священноцерковнослужителях Богоявленского прихода значились все три брата: Иосиф (священник), Дмитрий (дьячок), Никита (диакон), а также сын Никиты Симеон (пономарь). При этом в 1784 г. Иосиф был определен депутатом по присутственным местам с духовной стороны и для увещания колодников [5, л. 467].

Далее остановимся на следующем, третьем поколении Белозёровых, к которому и принадлежит интересующий нас Симеон Никитич. То есть это уже дети Никиты, Дмитрия и Иосифа. Именно это поколение максимально прослеживается в документах, из которых можно сделать вывод, что Белозёровы к концу XVIII в. имели достаточно большой вес в общественной жизни Соликамска.

Запись о. Владимира Белозёрова в документе. СКМ Ф. 19. Д. 23.

Итак, дети Никиты: Симеон Никитич (об остальных сведения не выявлены).

Дети Дмитрия: Марья (замужем за соликамским мещанином Ульяном Петровичем Котельниковым) [11, л. 35], Павел (мещанин, умер в 25 лет 11.11.1803) [7, л. 416] [6, л. 133], Егор (будучи студентом Пермской духовной семинарии, женился на дочери купца Фекле Семеновне Власовой) [8, л. 14об.].

Дети Иосифа: Павел (мещанин, в 1792 г. упоминается в связи с продажей тканей Знаменской церкви с. Городища) [16, л. 40об.] Анна (замужем за купцом Петром Ларионовичем Суятиным) [11, л. 251], Мария (замужем за мещанином мелочного торга Афанасием Васильевичем Молчановым) [11, л. 45об.], Андрей (на 1799 г. священник Троицкого собора) [6, л. 133]. Именно Андрей, а точнее, дело о драке Е.Свалова и  А.Суятина [6, л. 119], по которому он проходил свидетелем, проливает свет на некоторые интересные моменты. 25 апреля 1799 г. между его гостями, купцом Ефимом Сваловым и мещанином Автономом Суятиным произошла драка. В деле  фигурируют родственники Андрея Белозёрова — Ульян Котельников (муж двоюродной сестры), а также Павел Дмитриевич (двоюродный брат). Сам же Андрей Белозёров в показаниях сказывал: «называл ли

Приложение 1

Суятин Свалова дураком и говорил ли ему, что он не лучше тетки своей Афанасия Молчанова жены (т.е. родной сестры Андрея, Марии) – того я не слыхал». Следовательно, ответчик купец Свалов также приходился родственником Белозёровым (по линии Иосифа). Забегая вперед, отмечу, что на дочери истца, Автонома Львовича Суятина, спустя 14 лет женится сын Симеона Никитича, Михаил.

Итого получается: к третьему поколению, современному Симеону Никитичу, Белозёровы породнились с видными представителями купеческого и мещанского сословий города Соликамска: Суятиными, Сваловыми, Молчановыми, Котельниковыми, Власовыми. Добавим сюда восприемников (крестных их детей) – и картина получится еще более полной. Во всяком случае, восприемниками могли стать люди, с которыми Белозёровы были «на дружеской ноге». При этом дядя Симеона Никитича, Дмитрий Иоаннович, по данным 1796 г. значился как бывший канцелярист духовного правления [11, л. 35], двоюродный брат Андрей на 1799 г. – член духовного правления [6, л. 133], сам Симеон Никитич с 22.10.1800 – депутат от духовной стороны по городническим делам и увещатель (так же как когда-то его дядя, Иосиф) [13, л. 10об.]. Таким образом, к концу XVIII в. (а возможно, и раньше) Белозёровы достаточно прочно заняли свою весомую нишу в общественной жизни Соликамска.

Приложение 2

Бегло обозначу, что происходило в четвертом поколении Белозёровых (боковые ветви). По мужской линии Дмитрия Иоанновича прослеживаются потомки при Воскресенской церкви с. Воскресенского (внук, священник Ипполит Егорович). По мужской линии Иосифа Иоанновича упоминается Андрей Андреевич (сын Андрея, священника Троицкого собора). Будучи диаконом Кудымкорской церкви [12, л. 1об.], он прожил всего 29 лет. В браке с Ксенией Яковлевной Жуковской (дочерью вахмистра губернского правления) у них родились дочери Параскева (21.10.1805) и Стефанида (04.11.1806).

Таким образом, мы подошли к центральной фигуре нашего исследования – Симеону Никитичу Белозёрову. Ключевым документом в раскрытии его биографии является Клировая ведомость Богоявленской церкви за 1812 г. [13, л. 10об. — 11]. В ней читаем:

«Священник Симеон Никитин сын  Белозеров вдов, родился в 1757 году августа 14 числа, следовательно ему ныне 55. У него дочери:

Марфа родилась 1781 г. июня 24 числа, следовательно ей ныне отроду 31.

Мария родилась 1789 года июня 20 дня, следовательно ей ныне отроду 23.

Анна родилась 1797 года марта 15 числа, следовательно ей ныне отроду 15.

Екатерина родилась 1800 года ноября 21 дня, следовательно ей ныне отроду 12.

Иоанн родился 1808 года сентября 6 числа, следовательно ему ныне отроду 5+4мца.

Приложение 3

В семинарии не обучался, болен ногами. Всё нужное до домостроительства и скотоводства имеет. Родственников при оной же церкви роднаго сына дьячка Михаила и села Таманского Петропавловской церкви священника сына роднаго ж Стефана Белозеровых имеет, которые родственники в достатке хорошем. А в свободное время занимается он, Белозеров, иконописным художеством (приписка карандашом: поведения нехудого и в священнической должности исправен, а в должности же депутата не рачителен).

1773 года произведен к сей Богоявленской церкви в пономаря.

1784 по указу Вятской духовной консистории переименован к оной же церкви во дьячки.

1791 года октября 22 дня посвящен Добрянского завода к Рождественской Богородицкой церкви в священника.

1795 года июля 21-го по указу Вятской духовной консистории переведен к Богоявленской церкви на место престарелого и удаленного за болезнию священника Иосифа Белозерова.

Кроме настоящей должности с 1800 года октября 22 несет должность депутата при первоначальном обследовании по городническим делам с духовной стороны да и во всех присутственных местах в городе Соликамске увещателем.

Штрафован 1804 года за непослушание начальству и непоминовение родителям запрещением священнослужения и справлением 300 земных поклонов».

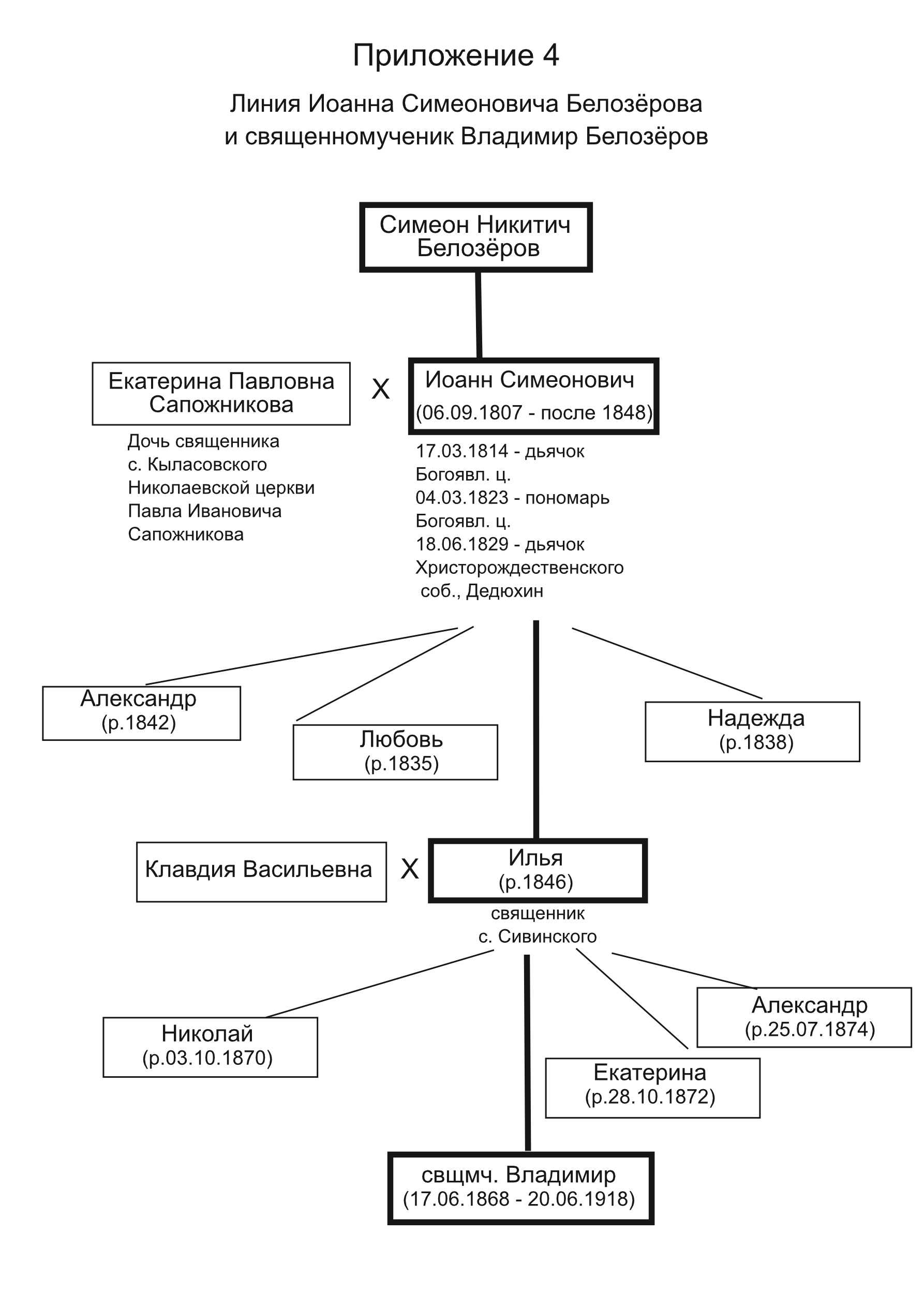
Приложение 4

Согласно этому же документу, на 1812 г. С.Н. Белозеров находился под судом сразу по трем делам, одно из них – «за унесение из церкви образа и постановление онаго к нужнику». Возможно, икона была собственного письма или просто плохого пошиба и за то была унесена к означенному месту – истинных мотивов мы уже не узнаем. И в то же время характеристика С.Н. Белозёрову дана положительная, притом заметим, что должность увещателя предполагала талант человека располагать к себе. Так что, судя по всему, личностью Симеон Никититич был авторитетной и неординарной. И всё же очевидно, что на указанный момент в его судьбе происходит некий сбой.

Попробуем разобраться, что же происходило на тот момент в жизни священника и иконописца Симеона Никитича Белозёрова. Согласно записи в метрической книге Богоявленской церкви, его сын Иоанн родился 6 сентября 1807 года (а не 1808, как указано в Клировой ведомости), а спустя двадцать дней жена Симеона Никитича Белозёрова умерла и он остался вдов с младенцем на руках. Это подтверждает запись в разделе «об умерших» от 26 сентября того же 1807 года: «Означенной Богоявленской церкви священника Симеона Никитина сына Белозерова жена Акилина Филипова дочь, смертью натуральной» [8, л. 16об.]. В ряде источников ее называют Ириной или Татьяной, но Симеон Никитич вряд ли мог ошибиться с именем своей жены, делая запись о ее смерти в метрической книге своей рукой. Акилина Филипповна была родной сестрой иконописца П.Ф. Рязанцева [4, с. 194]. Восприемником новорожденного стал сын П.Ф. Рязанцева, Федор — в будущем тоже иконописец. Восприемницей – Анна Сушина, вдова приказчика Турчаниновых Никандра (который приходился братом Филанцеты Турчаниновой).

Симеон Никитич интересен также как иконописец. Известно, что он писал иконы в церковь Жен Мироносиц, в 1787 г. поновлял явленную икону Знамения Божией Матери из Уфимской часовни [1, с. 14]. В 1800 г. он участвовал в работе над придельным иконостасом Знаменской церкви с. Городища, обустраивавшейся после пожара. В зимний Георгиевский придел этой церкви им были написаны иконы в царские врата и местный образ Великомученика Георгия. Он же эти царские врата золотил [16, л. 103об. — 104]. Две его подписные работы находятся в иконостасе Богоявленской церкви, сменившем первоначальный иконостас как раз в бытность его священником этой церкви [15, л. 8об.]. На 1812 год иконостас этот стоял «новый, еще не позолоченный» (равно как и в Троицком соборе) [13, л. 10]. В него вошли три нижних яруса икон из старого иконостаса (местный, праздничный и деисус), а иконы с трех верхних ярусов (пророки, праотцы и преподобные) были «проданы с иконоставом». В описи Богоявленской церкви от 1803 года рядом с перечисляемыми иконами старого иконостаса имеются приписки, какие из икон впоследствии были проданы, какие «перекочевали» в новый иконостас, а какие расставлены по-другому [15, л. 8об. — 9]. Так, в пророческом ряду вместо пророков появились новые иконы святителей. Добавился нижний, тумбовый ряд. Кроме того, появились небольшие образки в откосах царских врат. Рискну предположить, что к написанию этих новых икон мог быть также причастен Симеон Белозёров. Ведь до того он не раз привлекался к иконописной работе в этой церкви: в 1782 г. писал иконы в приделе Владимирской иконы Божией Матери, а спустя пять лет часть образов поновлял [4, с. 194]. Конечно, эта версия требует дальнейшей проверки и экспертного заключения. Но основание для такого предположения есть, тем более что при визуальном сравнении нетрудно заметить ряд схожих черт между двумя подписными иконами, иконами святителей и небольшими образками в откосах царских врат. В данной статье мы не будем касаться подробно этих моментов, это тема отдельного исследования. Опять же, это только предположение, но иконы тумбового ряда иконостаса мог написать сын Симеона Михаил, делая первые шаги в иконописании. В этих иконах, а по сути картинах на ветхозаветные темы, чувствуется иной почерк и как будто неопытная рука.

Возникает вопрос: почему две иконы Симеон Никитич подписал, а остальные – нет? Принимая во внимание, что С.Н. Белозёров с шурином П.Ф. Рязанцевым и ранее участвовали в совместной иконописной работе (церковь Жен Мироносиц, 1777 г.) [14, л. 19], эта работа, возможно, также была совместной. Прибавим сюда еще сына Михаила, который на тот момент был дьячком Богоявленской церкви и тоже занимался иконописанием [13, л. 11об.]. Итого у нас три иконописца – родственника, двое из которых служат в этой церкви. Каков был смысл привлекать сторонних иконописцев? Что касается подписных икон по сторонам нижнего яруса – они были написаны через год после смерти Акилины Филипповны. Потеряв жену, С.Н. Белозёров проживет еще 7 лет и скончается в 1814 году. Как духовное послание Симеона Белозёрова воспринимается текст на свитке его Феодосия Тотемского: «Не скорбите братия моя и не унывайте. Аз отхожду от вас душою, но духом с вами пребуду, да и обитель моя не оскудеет во веки».

Потомков иконописца раскидало в самые разные уголки не только Пермской губернии. Некоторое время жизнь четверых его детей связана была с соседним городом Дедюхин. Михаил (07.11.1792 – ум. между 1843–1847 гг.) пошел по стопам отца, стал священником и иконописцем. Он женился на дочери вышеупомянутого Автонома Суятина, Анисии. С 04.10.1804 служил дьячком, а с 23.08.1814 – диаконом Богоявленской церкви, с 07.12.1815 – Спасского собора с. Усолья [очевидно, Спасо-Преображенского – М.Г.]. 05.11.1816 г. был рукоположен в сан священника в с. Никулинском, затем, с 01.12.1820 г. служил в дедюхинском Христорождественском соборе [10, л. 72об.]. Его брат Иоанн (06.09.1807 – ум. после 1848) с 17.03.1814 г. служил дьячком, а с 04.03.1823 г. – пономарем Богоявленской церкви. С 18.06.1829 г. значится дьячком при Христорождественском соборе, где служил его брат [10, л. 73об.]. Их сестра Екатерина вышла замуж за пономаря того же Христорождественского собора Константина Тимофеевича Будрина [10, л. 74об.]. Самая старшая сестра, Марфа (24.06.1781 – после 1848) замуж так и не вышла, жила там же в Дедюхине в доме своего брата, священника и иконописца Михаила, после смерти его получала пособие от епархиального попечительства [10, л. 75об.].

С селом Воскресенским Осинского уезда связана судьба старшего сына Симеона Никитича Белозерова — Стефана. Он женился на дочери диакона Спасской церкви Соликамска Георгия (Егора) Федоровича Юдина Александре в 1802 г. В том же году рукоположен в диаконы Рубежской церкви с. Усолья, с 1808 г. служил священником в Петропавловской церкви с. Таман, а с 1816 по 1830 г. – Воскресенской церкви с. Воскресенского [13, л. 68об. — 69]. В браке с Александрой у них родилось 10 детей, из которых шестеро умерло. Двое – с разницей в один день, от оспы (Петр 17, а Евдокия 18 декабря 1816 г.).

Еще одна дочь, Мария Симеоновна Белозерова, вышла замуж за дьячка Троицкого собора Стефана Николаевича Макушина [9, л. 3об.]. Её внук (правнук С.Н. Белозёрова) Петр Иванович Макушин станет видным деятелем народного просвящения в Сибири, основателем первого в Сибири книжного магазина, первой в Томске публичной библиотеки и одним из инициаторов создания первого в Сибири университета. Его памяти посвящены ежегодные «Макушинские чтения» (Приложение 3). В свою очередь, правнук Петра Ивановича – физик-теоретик, академик РАН Дмитрий Васильевич Ширков.

Другой известный потомок С.Н. Белозёрова – его правнук, священномученик Владимир Белозёров (17.06.1868 – †20.06.1918). Это внук Иоанна, того самого, который остался младенцем без матери (Приложение 4). Примечательно, что в 1908 г. он служил в Троицком соборе Соликамска, был наблюдателем церковных училищ. А в 1910 г. назначен временно исполняющим обязанности Благочинного 1-го Соликамского округа. Так спустя столетие линия Белозёровых, хоть и временно, возвращается в Соликамск.